乖乖的使用須知

乖乖的使用須知

一言以蔽之:綠色乖乖是科學園區的都市傳說。 綠色乖乖的傳說 「乖乖」有很多口味,除去一些在地行銷的特別口味,一 … 閱讀全文

手機成癮

手機成癮

一言以蔽之:許多人的一天都被手機占據了。 寒假到了,小朋友放假整天待在家裡,當然就會玩遊戲,為了怕小朋友沉迷於 … 閱讀全文

竹科附近的夜市

竹科附近的夜市

一言以蔽之:竹科附近的夜市簡表。 唐朝施行市坊分離,市場營業時間有限制,「日中而市、日落而息」,到了宋朝的時候 … 閱讀全文

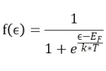
半導體能隙

半導體能隙

一言以蔽之:半導體能隙就是價帶頂端至導帶底端的差異。 今天有大學生問我了一題半導體物理的習題: 計算矽在下列條 … 閱讀全文

胡說八道聊虎克

胡說八道聊虎克

一言以蔽之:這篇是關於虎克的穿鑿附會小故事。 上期聊了肖牛的牛頓,這期來聊聊肖虎的虎克。 當清廷得知明朝皇室血 … 閱讀全文

胡說八道聊牛頓

胡說八道聊牛頓

一言以蔽之:這篇是關於牛頓的穿鑿附會小故事。 歷史上的今天——1643年1月4日,牛頓出生。 微博上有一則帖子 … 閱讀全文